Изучение комбинированного действия наночастиц оксидов селена и меди в субхроническом эксперименте на крысах
Аннотация
Введение. Экспозиция организма к наночастицам оксида селена, связанная с условиями труда, может сочетаться с экспозициям к наночастицами оксида меди. Характер такого комбинированного действия на организм ране не изучался
Материалы и методы. Стабильные суспензии наночастиц оксида селена и меди (при разовой дозе 1 либо 2 мг/кг массы тела) или деионизированная вода (контроль) вводились крысам-самцам 3 раза в неделю в течении 6 недель. По завершении экспозиции состояние организма животных оценивалось по ряду общепризнанных критериев оценки токсического действия. Статистическая значимость межгрупповых различий средних значений оценивалась с помощью t-критерия Стьюдента. Для анализа закономерностей двухфакторной комбинированной токсичности, использовали метод построения поверхности отклика (RSM-анализ).
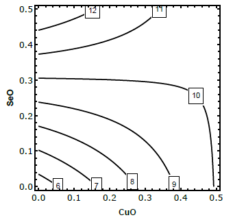
Результаты. При комбинированной интоксикации наночастицами оксидов селена и меди наблюдалось повреждение печени, исходя из снижения альбумино-глобулинового индекса и содержания щелочной фосфатазы в сыворотке крови, увеличения числа дегенеративно изменённых гепатоцитов. О нарушении функции почек свидетельствуют снижение уровня мочевины и мочевой кислоты в моче, креатинина в сыворотке крови, увеличение дегенеративно изменённых клеток дистальных и проксимальных канальцев почек. Анализ изоболограмм, полученных с помощью построения поверхности отклика, выявил неоднозначность типа комбинированного действия наночастиц оксидов селена в зависимости от того, по какому эффекту и на каком уровне доз он оценивается.
Выводы. Субхроническая токсичность наночастиц оксидов селена и меди характеризуется качественно сходными вредными эффектами. При этом комбинированное действие этих наночастиц на организм является типологически неоднозначным, варьируя от противонраправленности до синергизма.
Ключевые слова
Об авторах
Ильзира Амировна МинигалиеваРоссия
доктор биологических наук, заведующий отделом токсикологии и биопрофилкатики ФБУН ЕМНЦ ПОЗРПП Роспотребнадзора
Юлия Владимировна Рябова
Россия
младший научный сотрудник отдела токсикологии и биопрофилактики ФБУН ЕМНЦ ПОЗРПП Роспотребнадзора
Лариса Ивановна Привалова
Россия
доктор медицинских наук, профессор, заведующий лабораторией научных основ биопрофилактики ФБУН ЕМНЦ ПОЗРПП Роспотребнадзора
Владимир Борисович Гурвич
доктор медицинских наук, научный руководитель ФБУН ЕМНЦ ПОЗРПП Роспотребнадзора
Марина Петровна Сутункова
Россия
доктор медицинских наук, директор ФБУН ЕМНЦ ПОЗРПП Роспотребнадзора
Владимир Григорьевич Панов
Россия
кандидат физико-математических наук, старший научный сотрудник лаборатории математического моделирования в экологии и медицине Института промышленной экологии УрО РАН, научный сотрудник отдела токсикологии и биопрофилактики ФБУН ЕМНЦ ПОЗРПП Роспотребнадзора
Светлана Владиславовна Клинова
Россия
научный сотрудник отдела токсикологии и биопрофилактики ФБУН ЕМНЦ ПОЗРПП Роспотребнадзора
Рената Рашидовна Сахаутдинова
Россия
кандидат медицинских наук, заведующая ДЛО НПО Лабораторно-диагностических технологий, ФБУН ЕМНЦ ПОЗРПП Роспотребнадзора
Борис Александрович Кацнельсон
Россия
доктор медицинских наук, профессор, научный консультант ФБУН ЕМНЦ ПОЗРПП Роспотребнадзора
Список литературы
1. Кульчицкий Н.А., Наумов А.В. Современные оптоэлектронные приборы на основе селенида цинка. Наноинженерия. 2014; 1: 19 – 27.
2. Производство селена и теллура на ОАО «Уралэлектромедь»: учебное пособие. А. Б. Лебедь, C. С. Набойченко, В. А. Шунин; под общ. Ред. С. С. Набойченко. Екатеринбург: Изд-во Урал. Ун-та, 2015.
3. Vrček. I. V. Selenium Nanoparticles: Biomedical Applications // Molecular and Integrative Toxicology. 2018: 393-412
4. Мадарь И.И. Гидрометаллургическое извлечение селена из продуктов экстракционной переработки промывной кислоты медного производства. Автореф. дисс. канд. тех наук Санкт-Петербург, 2015.
5. Ляпищев Ю. Б. Современное состояние переработки электролитных шламов медного производства. Записки Горного института. 2006; 167 (2): 245-247.
6. Гурвич В.Б., Кацнельсон Б.А., Рузаков В.О., Привалова Л.И., Бушуева Т. В., Гребёнкина С. В. Биохимические эффекты у рабочих, подвергающихся влиянию аэрозолей металлургического производства меди, содержащих наночастицы. Актуальные гигиенические аспекты нанотоксикологии: теоретические основы, идентификация опасности для здоровья и пути ее снижения: Материалы международной конференции. 20-21 октября 2016 г. Екатеринбург; 2016; 21–23.
7. Привалова Л.И., Кацнельсон Б.А., Логинова Н.В., Гурвич В.Б., Шур В.Я., Бейкин Я.Б., Сутункова М.П., Минигалиева И.А., Шишкина Е.В., Пичугова С.В., Тулакина Л.Г., Беляева С.В., Рузаков В.О. Цитологические и биохимические особенности жидкости, получаемой при бронхо-альвеолярном лаваже у крыс после интратрахеального введения наноразмерных меднооксидных частиц. Токсикологический вестник. 2014; 5(128):8-15.
8. Minigalieva I. A., Katsnelson B. A., Panov V.G., Privalova L. I., Varaksin A. N., Gurvich V. B., Sutunkova M. P., Shur V. Ya., Shishkina E. V., Valamina I.E., Zubarev I. V., Makeyev O. H., Meshtcheryakov E. Y., Klinova S. V. In vivo toxicity of copper oxide, lead oxide and zinc oxide nanoparticles acting in different combinations and its attenuation with a complex of innocuous bio-protectors. Toxicology. 2017; 380: 72–93. Doi: 10.1016/j.tox.2017.02.007
9. Ellman G., Lysko H. A precise method for the determination of whole blood and plasma sulfhydryl groups Text. Anal. Biochem. 1979; 93 (l): 98-102.
10. Меньшиков В.В., Делекторская Л.Н., Золотниицкая Р.П. Лабораторные методы исследования в клинике: Справочник. М.: Медицина. 1987: 368.
11. Нарциссов Р.П. Применение n-нитротетразоли фиолетового для количественной цитохимии дегидрогеназ лимфоцитов человека. Архив анатомии, гистологии и эмбриологии. 1969; 5: 85-91
12. Katsnelson, B. A., Minigaliyeva, I. A., Panov, V. G., Privalova, L. I., Varaksin, A. N., Gurvich, V. B., Sutunkova, M. P., Shur, V. Y., Shishkina, E. V., Valamina, I. E., & Makeyev, O. H. Some patterns of metallic nanoparticles’ combined subchronic toxicity as exemplified by a combination of nickel and manganese oxide nanoparticles. J. Food Chem. Toxicol. 2015; 86: 351-364.
13. Tzagoloff A. Mitochondria. New York, Plenum Press; 1982.
14. Ackrell B.A.C, Johnson M.K., Gunsalus R.P., Cecchini G. Structure and function of succinate dehydrogenase and fumarate reductase. F. Muller (ed) Chemistry and Biochemistry of Flavoproteins Boca Raton, FL: CRC Press 1992;3:229–297
Дополнительные файлы
|
|
1. Рисунок 1 | |
| Тема | ||
| Тип | Исследовательские инструменты | |
Посмотреть
(403KB)
|
Метаданные ▾ | |
|
|
2. Рисунок 2 | |
| Тема | ||
| Тип | Исследовательские инструменты | |
Посмотреть
(461KB)
|
Метаданные ▾ | |
|
|
3. Рисунок 3 | |
| Тема | ||
| Тип | Исследовательские инструменты | |
Посмотреть
(29KB)
|
Метаданные ▾ | |
|
|
4. Рисунок 4 | |
| Тема | ||
| Тип | Исследовательские инструменты | |
Посмотреть
(25KB)
|
Метаданные ▾ | |
|
|
5. Рисунок 5 | |
| Тема | ||
| Тип | Исследовательские инструменты | |
Посмотреть
(36KB)
|
Метаданные ▾ | |
|
|
6. Рисунок 6 | |
| Тема | ||
| Тип | Исследовательские инструменты | |
Посмотреть
(12KB)
|
Метаданные ▾ | |
|
|
7. Рисунок 7 | |
| Тема | ||
| Тип | Исследовательские инструменты | |
Посмотреть
(27KB)
|
Метаданные ▾ | |
Рецензия
Для цитирования:
Минигалиева И.А., Рябова Ю.В., Привалова Л.И., Гурвич В.Б., Сутункова М.П., Панов В.Г., Клинова С.В., Сахаутдинова Р.Р., Кацнельсон Б.А. Изучение комбинированного действия наночастиц оксидов селена и меди в субхроническом эксперименте на крысах. Токсикологический вестник. 2022;30(4).





























